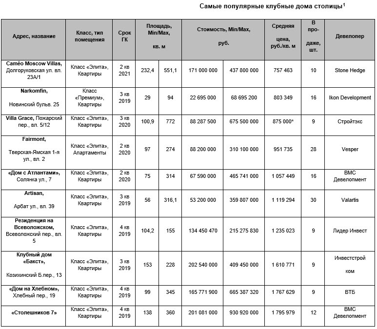
В Москве реализуется большое количество клубных домов в различных классах и округах, и учитывая уникальность данного предложения, основная доля такого формата приходится на ЦАО. Аналитики департамента проектного консалтинга Est-a-Tet подготовили ТОП-10 самых популярных клубных домов столицы, проанализировав средние цены, площади и бюджеты в них.
В Cameo Moscow Villas средняя цена составляет 757 463 руб./кв. м, в проекте можно приобрести персональную виллу с уникальным сервисом, а также собственным патио, парком, садом и террасой. Например, бюджет покупки двухэтажной виллы площадью 236 кв. м составляет 171 млн рублей, а максимальная стоимость достигает 437,8 млн рублей.
Второе место занимает проект Narkomfin, средняя цена в нем составляет 803 349 руб./кв. м. В реализации находится 16 квартир премиального класса, стоимость которых варьируется от 22,6 млн рублей 68,6 млн рублей, максимальная площадь достигает 94 кв. м.
Замыкает тройку лидеров комплекс Villa Grace с показателем 875 тыс. руб./кв. м. В открытой продаже представлено 9 квартир, бюджет которых начинается от 88,2 млн рублей, диапазон площадей от 100,9 до 772 кв. м.
В пятерку также вошли элитные проекты Fairmont, в котором средняя цена составляет 951 735 руб./кв. м (здесь представлено самое большее количество лотов – 28 штук), а также комплекс «Дом с Атлантами» - 1 057 449 руб./кв. м.

1) Прим.: Если ведутся закрытые продажи, то стоимость оценочная
«Традиционно недвижимость такого формата приобретают люди, которым важна известная и уникальная локация, а также качественная маркетинговая концепция, зачастую созданная именитым архитектором, - комментирует Алексей Сидоров, директор департамента элитной недвижимости Est-a-Tet. – Помимо этого, сейчас в клубных домах есть продвинутые системы охраны, а также наличие множества коммуникаций – от многоуровневой системы кондиционирования и собственной системы отопления до кабельного телевидения и скоростного интернета. Во многих проектах из паркинга предусмотрен собственный лифт».

Комментарии
(0)#Последние комментарии на сайте